高级不等式合集 -足球竞猜
高级不等式合集
26个知识点,24道练习
ch1. 伯努利不等式
ch2. 均值不等式
ch3. 幂均不等式
ch4. 柯西不等式
ch5. 切比雪夫不等式
ch6. 排序不等式
ch7. 琴生不等式
ch8. 波波维奇亚不等式
ch9. 加权不等式
ch10. 赫尔德不等式
ch11. 闵可夫斯基不等式
ch12. 牛顿不等式
ch13. 麦克劳林不等式
ch14. 定义多项式
ch15. 舒尔不等式
ch16. 定义序列
ch17. 缪尔海德不等式
ch18. 卡拉玛塔不等式
ch19. 单调函数不等式
ch20. 个对称变量法
ch21. 个对称变量法
ch22. abc法
ch23. sos法
ch24. smv法
ch25. 拉格朗日乘数法
ch26. 三角不等式
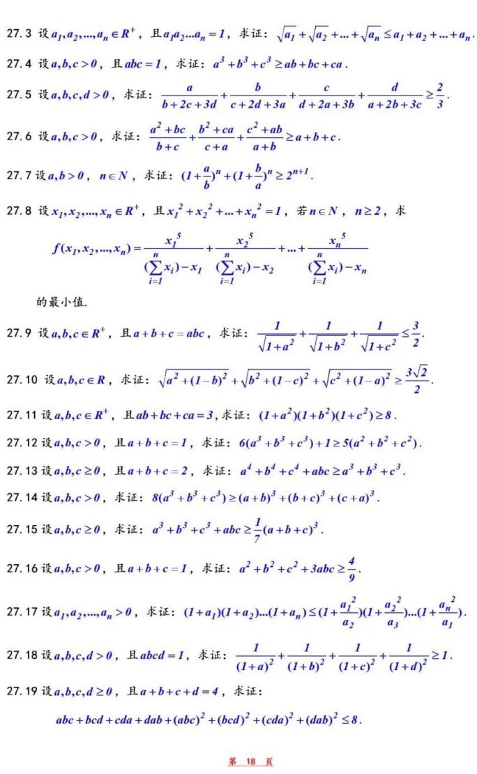
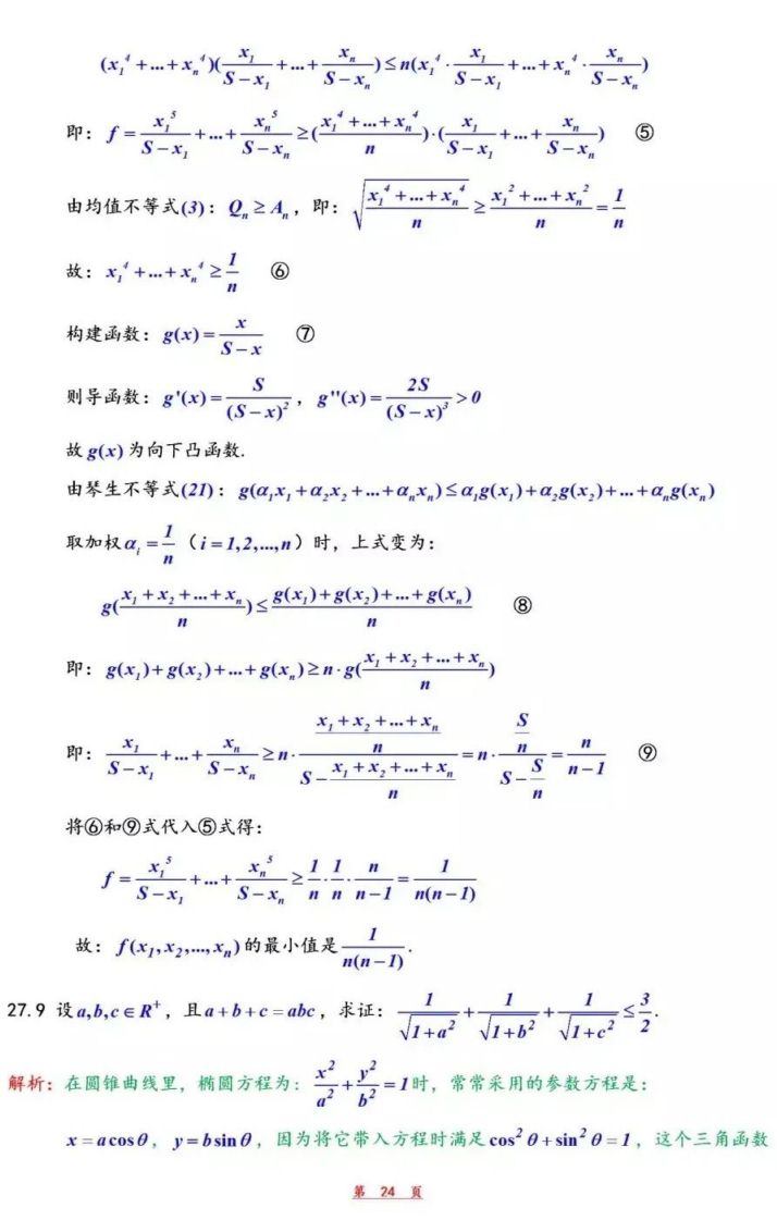
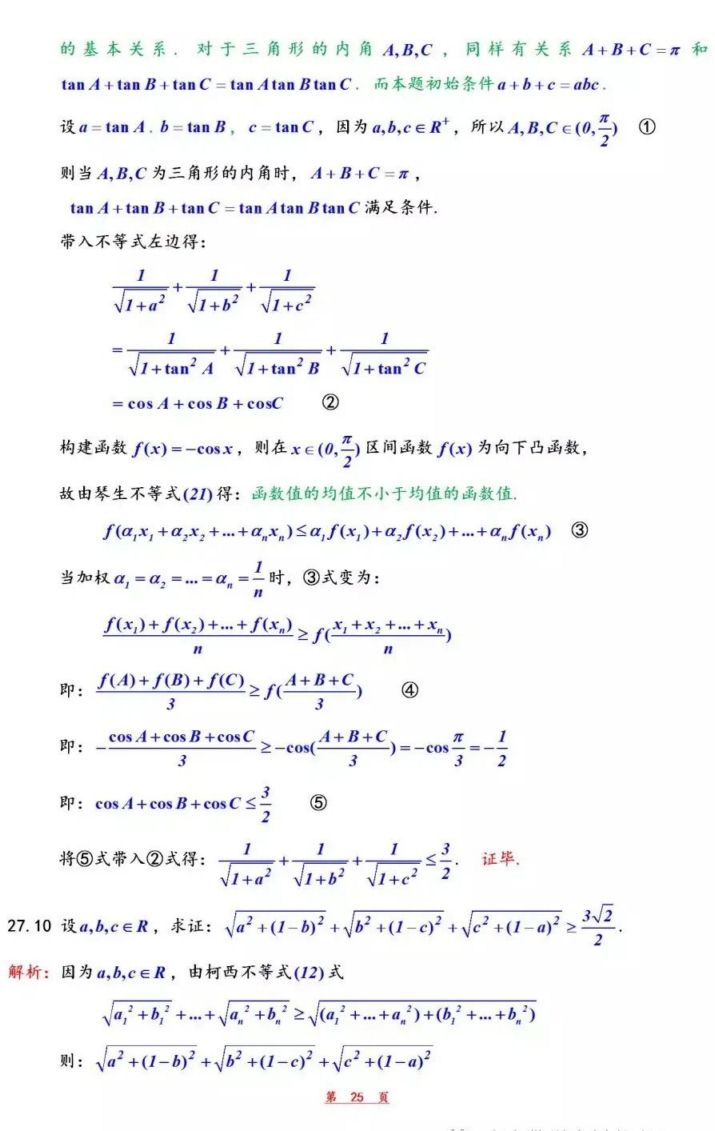
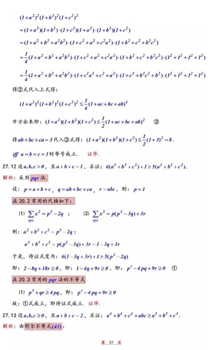
ch27. 习题与习题解析








































扫描二维码推送至手机访问。
特别声明:
本站属于公益性网站,纯粹个人爱好,网站部分内容收集于网络,仅供考生和其他老师参考、交流使用,请勿用作其他商业收费用途。
本站尊重原创并对原创者的文章表示肯定和感谢,如有侵权请联系删除!针对本站原创内容,本站也欢迎转载,如需转载请注明出处。