极难导数题 -足球竞猜

这是一道很难的导数题,是数海一模(详解:数海一模全卷解析)压轴题的一个加强。当时我出完这道题觉得结论很美,但是我想了很久都没有想出证明。于是数海一模压轴题只要求证明a=2的情况,这才符合高考难度。
前几天,数海漫游对这题发起征解。今天,张麒老师与我分享了他对这道题的解析,用了许多巧妙地代换和复杂的求导最终解决了这个困扰我已久的题目,在这里感谢他。
当然,这只是中学数学程度可以看懂的解析,并不是手算可以完成的证明。所以大家如果有更好的方法也欢迎讨论。
解析如下。





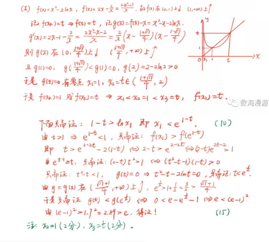
原题解析如下:


扫描二维码推送至手机访问。
特别声明:
本站属于公益性网站,纯粹个人爱好,网站部分内容收集于网络,仅供考生和其他老师参考、交流使用,请勿用作其他商业收费用途。
本站尊重原创并对原创者的文章表示肯定和感谢,如有侵权请联系删除!针对本站原创内容,本站也欢迎转载,如需转载请注明出处。