10个不常见的裂项相消 -足球竞猜
当前位置:足球竞猜 > 数学 > 高中数学 > 正文内容

10个不常见的裂项相消 -足球竞猜

英才学习2年前 (2022-01-16)高中数学300

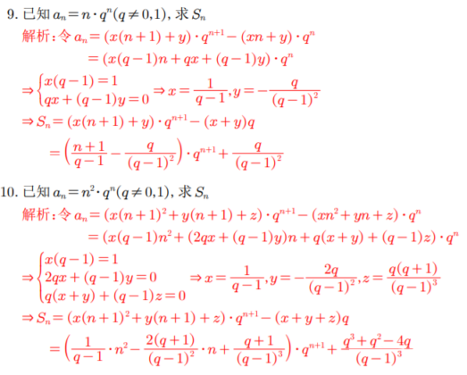
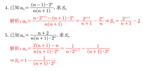
图片

图片

图片

图片



转载请注明 来自英才吧学 习 网(https://www.y c8.com.cn/) - 让学 习更轻松,部分文章综合整理自网络,如有侵权联系删除。
打赏 支付宝打赏 微信打赏

扫描二维码推送至手机访问。

特别声明:

本站属于公益性网站,纯粹个人爱好,网站部分内容收集于网络,仅供考生和其他老师参考、交流使用,请勿用作其他商业收费用途

本站尊重原创并对原创者的文章表示肯定和感谢,如有侵权请联系删除!针对本站原创内容,本站也欢迎转载,如需转载请注明出处。

本文链接:https://yc8.com.cn/wenzhang/202201/995.html

分享给朋友:

“10个不常见的裂项相消” 的相关文章

不等式的证明方法2年前 (2021-12-01)
导数压轴题题型2年前 (2021-12-08)
对数2年前 (2021-12-09)

发表评论

访客

◎欢迎参与讨论,请在这里发表您的看法和观点。
网站地图