基本不等式之算两次 -足球竞猜
基本之算两次
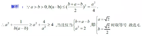
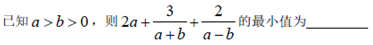
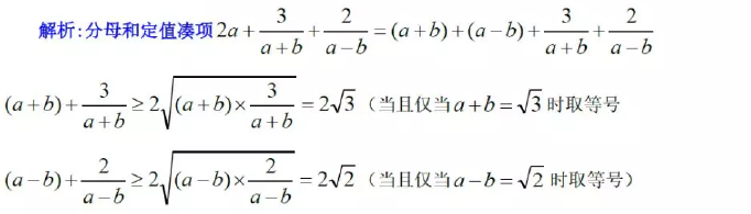
第1题、


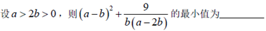
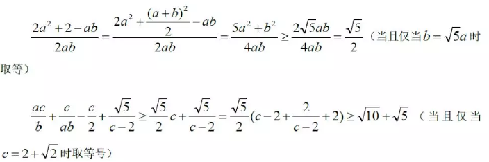
第2题、



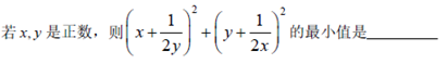
第3题、


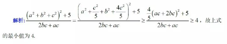
第4题、



第5题、


第6题、



第7题、


第8题、




转 载请注明来自英才吧学 习 网(https://www. yc8.com.cn/) - 让学 习更轻松,部分文章综合整理自网络,如有侵权请联系删除。
扫描二维码推送至手机访问。
特别声明:
本站属于公益性网站,纯粹个人爱好,网站部分内容收集于网络,仅供考生和其他老师参考、交流使用,请勿用作其他商业收费用途。
本站尊重原创并对原创者的文章表示肯定和感谢,如有侵权请联系删除!针对本站原创内容,本站也欢迎转载,如需转载请注明出处。
支付宝打赏
微信打赏