初中数学必背公式 -足球竞猜
初中数学常用公式
1、绝对值计算

2、幂的性质

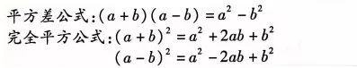
3、整式乘法公式

4、方程

5、的性质

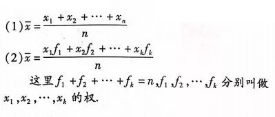
6、平均数

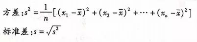
7、方差与标准差

8、三角形

9、比例的性质

10、三角函数

11、与圆有关公式

转载请注明来自 英才吧学 习 网(http://www. yc8.com.cn /) - 让学 习更轻松,部分文章综合整理自网络,如有侵权请联系删除。
扫描二维码推送至手机访问。
特别声明:
本站属于公益性网站,纯粹个人爱好,网站部分内容收集于网络,仅供考生和其他老师参考、交流使用,请勿用作其他商业收费用途。
本站尊重原创并对原创者的文章表示肯定和感谢,如有侵权请联系删除!针对本站原创内容,本站也欢迎转载,如需转载请注明出处。
支付宝打赏
微信打赏