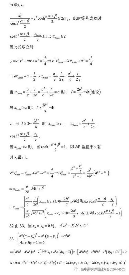
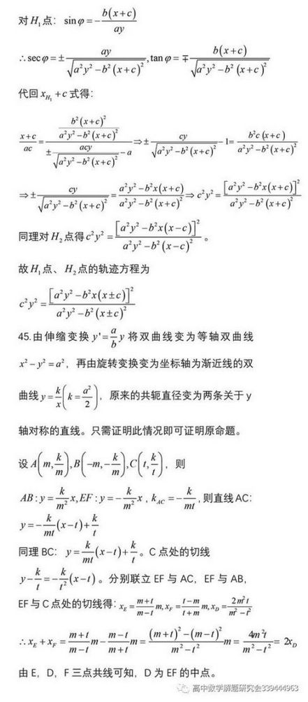
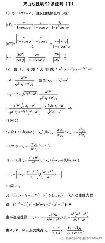
高中数学:双曲线性质92条及其证明













































扫描二维码推送至手机访问。
特别声明:
本站属于公益性网站,纯粹个人爱好,网站部分内容收集于网络,仅供考生和其他老师参考、交流使用,请勿用作其他商业收费用途。
本站尊重原创并对原创者的文章表示肯定和感谢,如有侵权请联系删除!针对本站原创内容,本站也欢迎转载,如需转载请注明出处。
高中数学:双曲线性质92条及其证明













































扫描二维码推送至手机访问。
特别声明:
本站属于公益性网站,纯粹个人爱好,网站部分内容收集于网络,仅供考生和其他老师参考、交流使用,请勿用作其他商业收费用途。
本站尊重原创并对原创者的文章表示肯定和感谢,如有侵权请联系删除!针对本站原创内容,本站也欢迎转载,如需转载请注明出处。