八种方法解一道二元无理式的最小值 -足球竞猜
八种方法解一道的
题目:已知x>0,y>0,2x y=2 ,求x √(x2 y2)的最小值。
解法1:代入消元 判别式法求最小值
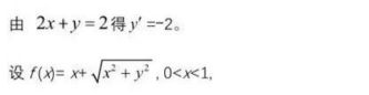
由x>0,y>0, 2x y=2,得y=2-2x,则


解法3 待定系数法助力求最小值

解法4 三角换元 待定系数法 柯西

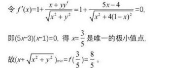
解法5:复合函数求导法求最小值



如图,在平面直角坐标系, 设a (1, 0), b (0, 2),
p (x, y)是线段ab上的动点,设直线ob关于直线ab的对称线为直线bc,
由tan∠oba=1/2,
知tan∠obc=tan2∠oba=4/3,
得c (8/3, 0), 知直线bc: 3x 4y-8=0,
设p在ob,bc上的垂足分别为d, e,
o在bc上的垂足为h,
则原式=|pd| |op|=|op| |pe|
≥|oh|=8/√(32 42)=8/5,
故x √(x2 y2)的最小值为8/5。
如图,在平面直角坐标系, 设a (1, 0), b (0, 2), p (x,y)是线段ab上的动点(a,b两点除外),满足2x y=2,则x √(x2 y2)=pm po.
作点o关于直线ab的对称点c,可求得点c的坐标为(8/5,4/5),过点c作y轴的垂线,垂足为d,交ab于点e,则po=pc,eo=ec.
pm po=pm pc≥cd=8/5,
当点p与点e重合时,等号成立。
故所求式子的最小值为8/5.

解法8 用物理性质求解
如图,在平面直角坐标系, 设a (1, 0), b (0, 2), p (x,y)是线段ab上的动点(a,b两点除外),满足2x y=2,过点p作y轴的垂线,垂足为m,
则x √(x2 y2)=pm po.
根据光在同一媒介里沿最短路径传播这一性质可知,从点o发出的光线射到直线ab发生反射后平行于x轴,这样的光线是存在的,且是唯一的。设平行于 x轴的反射光线与y轴相交于点m,由入射角等于反射角知,
∠1=∠2,又由mp//ob,得∠2=∠3,
所以∠1=∠3,所以op=ob=1,即x2 y2=1,
又x 2y=2,联立解得x=3/5,
所以pm po=3/5 1=8/5.
故所求式子的最小值为8/5.

改编题1:已知x>0,y>0,x y/3=1 ,
求x √(x2 y2)的最小值。
改编题2:已知x>0,y>0,x/2 y/3=1 ,
求x √(x2 y2)的最小值。
转载 请注明来自英 才吧学 习 网(https://w ww.yc8.com.cn/) - 让学 习更轻松,部分文章综合整理自网络,如有侵权联系删除。
扫描二维码推送至手机访问。
特别声明:
本站属于公益性网站,纯粹个人爱好,网站部分内容收集于网络,仅供考生和其他老师参考、交流使用,请勿用作其他商业收费用途。
本站尊重原创并对原创者的文章表示肯定和感谢,如有侵权请联系删除!针对本站原创内容,本站也欢迎转载,如需转载请注明出处。
支付宝打赏
微信打赏