立体几何外接球与内切球 -足球竞猜
当前位置:足球竞猜 > 数学 > 高中数学 > 正文内容

立体几何外接球与内切球 -足球竞猜

英才学习2年前 (2021-12-13)高中数学333

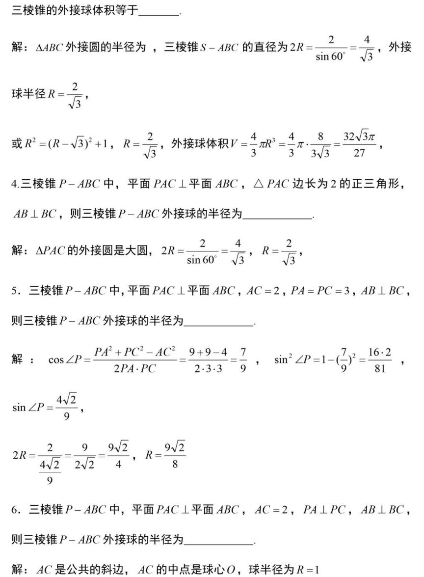
图片
图片



图片
图片
图片
图片
图片
图片



图片
图片
图片
图片
图片
图片
图片
图片
图片
图片
图片
图片
图片



转载请注明来自 英才吧 学 习网(https://www. yc8.com.cn/) - 让学 习更轻松,部分文章综合整理自网络,如有侵权请联系删除。
打赏 支付宝打赏 微信打赏

扫描二维码推送至手机访问。

特别声明:

本站属于公益性网站,纯粹个人爱好,网站部分内容收集于网络,仅供考生和其他老师参考、交流使用,请勿用作其他商业收费用途

本站尊重原创并对原创者的文章表示肯定和感谢,如有侵权请联系删除!针对本站原创内容,本站也欢迎转载,如需转载请注明出处。

本文链接:https://yc8.com.cn/wenzhang/202112/834.html

标签:
分享给朋友:

“立体几何外接球与内切球” 的相关文章

代数不等式证明2年前 (2021-12-07)
幂指对比大小问题2年前 (2021-12-08)
椭圆离心率2年前 (2021-12-08)
高中数学50个二级结论2年前 (2021-12-08)
高级不等式合集2年前 (2021-12-08)

发表评论

访客

◎欢迎参与讨论,请在这里发表您的看法和观点。
网站地图