当前位置:足球竞猜 > 高中数学 > 不等式 > 正文内容
英才学习2个月前 (03-25)不等式137

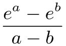
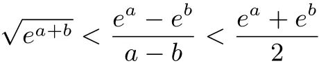
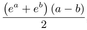
对于实数a,b,且a̸=b,定义为a,b的指数平均数,则.

证明

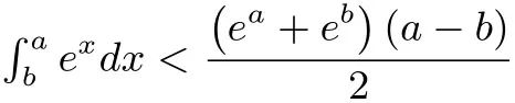
先证指数平均不等式的右边,如下:

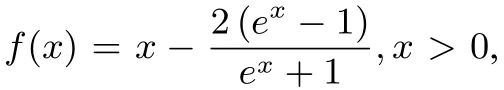
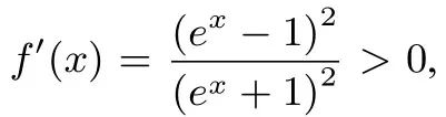
不妨设a>b,即a-b>0,ea-eb>0,要证不等式的右边,即证a-b>,则证换元,令a-b=t>0,所以需证构造函数即证f(x)> 0.求导得即f(x)为(0, ∞)上的增函数,则f(x)>f(0)=0,不等式右边得证,


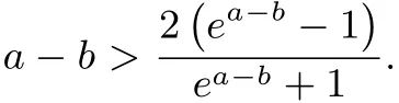
同理可证不等式左边.

综上述所,指数平均不等式链得证.


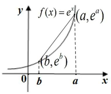
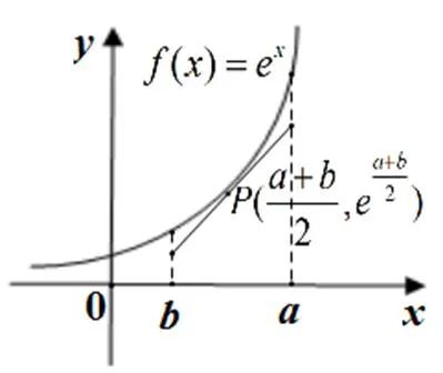
上述指数平均不等式有着优美的几何意义,即“无字证明”,如下:

图1

图2

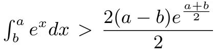
如图1,曲边梯形面积大于直角边梯形面积,即s曲梯 > s直梯,所以,即ea-eb故不等式左边得证;

如图2,直角边梯形面积大于曲边梯形面积,即s曲梯 < s直梯,所以,即ea-eb,则,故不等式右边得证.

综上述所,指数平均不等式链得证.



扫描二维码推送至手机访问。

特别声明:

本站属于公益性网站,纯粹个人原因(陪孩子学习便于查询和教授),网站部分内容收集于网络,仅供学生和老师参考、交流使用,请勿用作其他商业收费用途

如果网站内容能给你带来提升,那便是我经营此网站的初衷。网站相关内容如有问题,请及时提出,我在此谢谢!

本站尊重原创并对原创者的文章表示肯定和感谢,如有侵权请联系删除!针对本站原创内容,本站也欢迎转载,如需转载请注明出处。

本文链接:https://yc8.com.cn/wenzhang/202403/4005.html

分享给朋友:

“高中数学:不等式 - 指数均值不等式” 的相关文章

发表评论

访客

◎欢迎参与讨论,请在这里发表您的看法和观点。
网站地图